1. トップ
  2. 企業情報
  3. ニュースリリース
  4. 新株予約権(株式報酬型ストックオプション)の割当に関するお知らせ

ニュースリリース

2025年6月27日

  • 経営・財務 経営・財務

新株予約権(株式報酬型ストックオプション)の割当に関するお知らせ

印刷用PDFファイル(260.65KB)


当社は、本日開催の取締役会において、会社法第236条、第238条および第240条に基づき、当社の取締役(社外取締役を除く)、執行役員、専任役員、役員待遇に対し、株式報酬型ストックオプションとして発行する新株予約権の募集事項等を決議いたしましたので、下記の通りお知らせいたします。

1.新株予約権の割当を受ける者(以下、対象者という)および対象者に対して割り当てる新株予約権の数

当社取締役 5名 143個
当社執行役員 30名 305個
当社専任役員 29名 301個
当社役員待遇 15名 93個

2.新株予約権の総数

842個

3.新株予約権の目的である株式の種類および数

当社普通株式 8万4,200株とする。
各新株予約権の目的である株式の数(以下、付与株式数という)は、当社の普通株式100株とする。ただし、新株予約権を割り当てる日(以下、割当日という)以降、当社が株式分割(普通株式の無償割当てを含む。以下、株式分割の記載につき同じ)または株式併合を行う場合、付与株式数は、次の算式により調整され、調整の結果生じる1株未満の端数は切り捨てる。

調整後付与株式数 = 調整前付与株式数 × 株式分割または株式併合の比率

また、割当日後に、当社が合併、会社分割、株式交換または株式移転を行う場合、株式の無償割当てを行う場合その他付与株式数の調整を必要とする場合には、必要かつ合理的な範囲で付与株式数を適切に調整する。
付与株式数の調整を行うときは、調整後付与株式数を適用する日の前日までに、必要な事項を新株予約権原簿に記載された各新株予約権を保有する者(以下、新株予約権者という)に通知又は公告する。ただし、当該適用の日の前日までに通知又は公告を行うことができない場合には、以後速やかに通知又は公告する。

4.新株予約権の割当日

2025年7月11日

5.新株予約権の払込金額

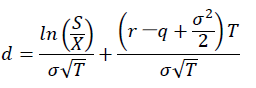
各新株予約権の払込金額は、次式のブラック・ショールズ・モデルにより以下のiiからviiの基礎数値に基づき算定した1株当たりのオプション価格(1円未満の端数は四捨五入)に付与株式数を乗じた金額とする。

ここで

  • i.
    1株当たりのオプション価格(C
  • ii.
    株価(S):2025年7月11日(割当日)の東京証券取引所における当社普通株式の普通取引の終値(終値がない場合は、翌取引日の基準値段)
  • iii.
    行使価格(X):1円
  • iv.
    予想残存期間(T):9年
  • v.
    株価変動性(σ):9年間(2016年7月12日から2025年7月11日まで)の各週の最終取引日における当社普通株式の普通取引の終値に基づき算出した変動率
  • vi.
    無リスクの利子率(r):残存年数が予想残存期間に対応する国債の利子率
  • vii.
    配当利回り(q):1株当たり配当金330円(2024年12月及び2025年6月の配当実績)÷上記iiに定める株価
  • viii.
    標準正規分布の累積分布関数(N(・))
    なお、新株予約権の割り当てに際しては、払込金額の総額と同額の報酬を対象者に支給するものとし、当該払込金額の払い込みに代えて、当該報酬債権をもって相殺する方法により払い込みがなされるものとする。

6.新株予約権の払込期日

2025年7月11日

7.新株予約権の権利行使期間

2028年7月12日から2040年7月11日まで。

8.新株予約権の行使に際して出資される財産の価額

各新株予約権の行使に際して出資される財産の価額は、各新株予約権を行使することにより交付を受けることができる株式1株あたり1円とし、これに付与株式数を乗じた金額とする。

9.新株予約権の行使条件

  • (1)
    対象者は、以下の事由が生じたときは、新株予約権を行使することができないものとする。
    • 1)
      前記7.に規定する新株予約権の権利行使期間(以下、権利行使期間という)中に、対象者が当社の取締役、執行役員、専任役員、従業員または当社の子会社の取締役、従業員のいずれの地位も保持しなくなった後1年経過した場合(当該事由が発生した日を含む)。ただし、当該事由が発生した日から1年経過した日(当該事由が発生した日を含む)が権利行使期間を越えた場合は、1年の経過を待たずして当該権利行使期間の満了日をもって、対象者は新株予約権を行使することができないものとする。また、権利行使期間の開始日が到来する前に、対象者が当社の取締役、執行役員、専任役員、従業員または当社の子会社の取締役、従業員のいずれの地位も保持しなくなった場合は、前記7.の規定にかかわらず、権利行使期間初日から1年間に限り、対象者は新株予約権を行使することができるものとする。
    • 2)
      対象者が、以下のいずれかに該当することとなった場合。
      • (1)
        対象者が死亡したとき。
      • (2)
        当社の企業秘密を不正に使用しまたは漏洩し、当社に損害を与えたとき。
      • (3)
        他の会社の役職員に就任したとき(当社の書面による承諾を事前に得た場合を除く)。
    • 3)
      対象者が、当社の懲戒規程第4条第1項第4号(諭旨退職)および第5号(懲戒解雇)に該当した場合およびこれに相当する行為を行ったと当社が判断した場合で、対象者に新株予約権を行使させることが適当でないと合理的に認められる場合。
    • 4)
      対象者が、禁錮以上の刑に処せられた場合。
    • 5)
      対象者が、当社所定の書面により、新株予約権の全部または一部を放棄する旨を申し出た場合。
  • (2)
    対象者は、第三者に対し、新株予約権の譲渡、贈与、質権等の担保権の設定その他の処分を行うことができない。
  • (3)
    対象者に割り当てられる新株予約権は、対象者の一身に専属するものであり、相続は認めない。
  • (4)
    対象者は、新株予約権を分割して行使することができる。ただし、新株予約権1個を分割して行使することはできない。
  • (5)
    その他権利行使の条件は、当社と対象者との間で締結する新株予約権割当契約書に定めるところによる。

10.新株予約権の行使により株式を発行する場合において増加する資本金および資本準備金の額

新株予約権の行使により株式を発行する場合において増加する資本金の額は、会社計算規則第17条第1項に従い算出される資本金等増加限度額の2分の1の金額とし、計算の結果1円未満の端数を生ずる場合、その端数を切り上げる。残額は資本準備金に組み入れるものとする。

11.新株予約権の行使により発生する端数の切り捨て

新株予約権者に交付する株式の数に1株に満たない端数がある場合には、これを切り捨てるものとする。

12.譲渡による新株予約権の取得の制限

譲渡による新株予約権の取得については、取締役会の決議による承認を要するものとする。

13.新株予約権の取得の事由および条件

  • (1)
    当社は、当社が消滅会社となる合併契約承認の議案、当社が分割会社となる吸収分割契約もしくは新設分割計画承認の議案、または当社が完全子会社となる株式交換契約もしくは株式移転計画承認の議案につき当社株主総会で承認された場合(株主総会決議が不要の場合は当社取締役会決議がなされた場合)は、当社取締役会が別途定める日に、無償で新株予約権を取得することができる。
  • (2)
    対象者が権利行使をする前に、上記9.に定める規定により新株予約権の行使ができなくなった場合、当社は、新株予約権を無償で取得することができる。

14.組織再編行為時における新株予約権の取扱い

当社が、合併(当社が合併により消滅する場合に限る)、吸収分割、新設分割、株式交換または株式移転(以上を総称して以下、組織再編行為という)をする場合において、組織再編行為の効力発生の時点において残存する新株予約権(以下、残存新株予約権という)の新株予約権者に対し、それぞれの場合につき、会社法第236条第1項第8号のイからホまでに掲げる株式会社(以下、再編対象会社という)の新株予約権を以下の条件に基づきそれぞれ交付することとする。

  • (1)
    交付する再編対象会社の新株予約権の数
    残存新株予約権の新株予約権者が保有する新株予約権の数と同一の数を交付する。
  • (2)
    新株予約権の目的である再編対象会社の株式の種類
    再編対象会社の普通株式とする。
  • (3)
    新株予約権の目的である再編対象会社の株式の数
    組織再編行為の条件等を勘案のうえ、当社取締役会が決定する。
  • (4)
    新株予約権の行使に際して出資される財産の価額
    前記5.に定める払込金額を組織再編行為の条件等を勘案のうえ調整して得られる再編後払込金額に、前記(3)に従って決定される当該新株予約権の目的である再編対象会社の株式の数を乗じて得られる金額とする。
  • (5)
    新株予約権の権利行使期間
    前記7.に定める残存新株予約権の権利行使期間の開始日と組織再編行為の効力発生日のうちいずれか遅い日から、前記7.に定める残存新株予約権の権利行使期間の満了日までとする。
  • (6)
    新株予約権の行使により株式を発行する場合において増加する資本金および資本準備金の額
    前記10.に準じて決定する。
  • (7)
    譲渡による新株予約権の取得の制限
    譲渡による新株予約権の取得については、再編対象会社の承認を要するものとする。
  • (8)
    新株予約権の取得の事由および条件
    前記13.に準じて決定する。
  • (9)
    その他の新株予約権の行使条件
    前記9.に準じて決定する。

15.新株予約権の行使に際して払込を取扱う銀行

株式会社三井住友銀行 大阪本店営業部

16.株主名簿管理人の名称、住所および営業所

(名称)
三菱UFJ信託銀行株式会社
(住所)
東京都千代田区丸の内一丁目4番5号
(営業所)
大阪市中央区伏見町三丁目6番3号
三菱UFJ信託銀行株式会社 大阪証券代行部

以上

報道機関からのお問い合わせ先

ダイキン工業株式会社 コーポレートコミュニケーション室

本社
〒530-0001 大阪市北区梅田一丁目13番1号(大阪梅田ツインタワーズ・サウス)
TEL (06)6147-9923(ダイヤルイン)
東京支社
〒104-0028 東京都中央区八重洲二丁目2番1号(東京ミッドタウン八重洲 八重洲セントラルタワー)
TEL (03)3520-3100(ダイヤルイン)
E-mail
prg@daikin.co.jp
ページの先頭へ